Официальное опубликование правовых актов
ОФИЦИАЛЬНОЕ ОПУБЛИКОВАНИЕ
Постановление Правительства Приморского края от 09.12.2020 № 1012-пп
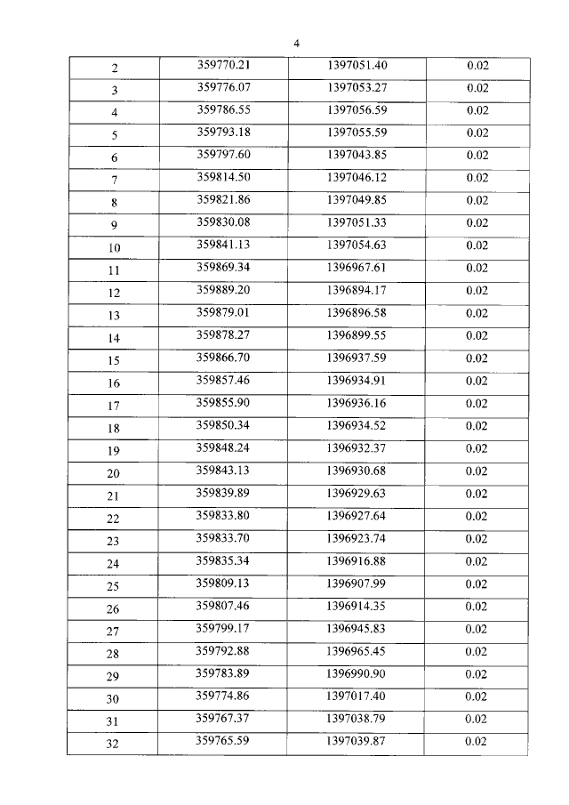
"Об установлении зон охраны объекта культурного наследия (памятника истории и культуры) народов Российской Федерации регионального значения "Здание бывшего католического костёла", 1909–1920 гг., утверждении требований к градостроительным регламентам в границах территорий данных зон"
Номер опубликования: 2501202012100020
Дата опубликования: 10.12.2020
Страница №6 из 35:
Увеличить