Официальное опубликование правовых актов
ОФИЦИАЛЬНОЕ ОПУБЛИКОВАНИЕ
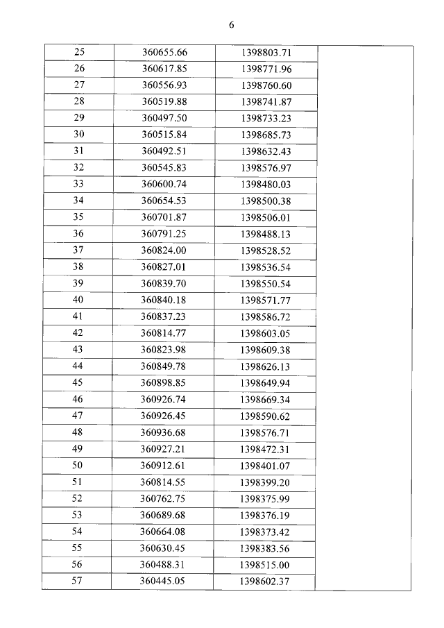
Постановление Правительства Приморского края от 03.12.2020 № 997-пп
"Об установлении зон охраны объекта культурного наследия (памятника истории и культуры) народов Российской Федерации регионального значения "Комплекс зданий военно-телеграфной роты Владивостокской крепости (три строения)", конец XIX – начало XX века, утверждении требований к градостроительным регламентам в границах территорий данных зон"
Номер опубликования: 2501202012030007
Дата опубликования: 03.12.2020
Страница №8 из 34:
Увеличить