Официальное опубликование правовых актов
ОФИЦИАЛЬНОЕ ОПУБЛИКОВАНИЕ
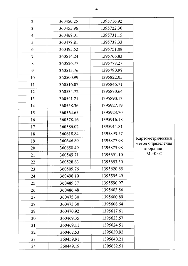
Постановление Правительства Приморского края от 30.11.2020 № 990-пп
"Об установлении зон охраны объекта культурного наследия (памятника истории и культуры) народов Российской Федерации регионального значения "Жилой дом", начало XX века, утверждении требований к градостроительным регламентам в границах территорий данных зон"
Номер опубликования: 2501202012010002
Дата опубликования: 01.12.2020
Страница №6 из 21:
Увеличить