Распоряжение Министерства строительства Приморского края от 13.11.2020 № 127-ра
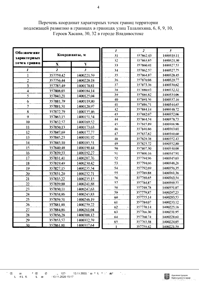
"О развитии застроенной территории в городе Владивостоке в границах улиц Талалихина, 6, 8, 9, 10, Героев Хасана, 30, 32"
"О развитии застроенной территории в городе Владивостоке в границах улиц Талалихина, 6, 8, 9, 10, Героев Хасана, 30, 32"
Номер опубликования: 2501202011180005
Дата опубликования:
18.11.2020
