Официальное опубликование правовых актов
ОФИЦИАЛЬНОЕ ОПУБЛИКОВАНИЕ
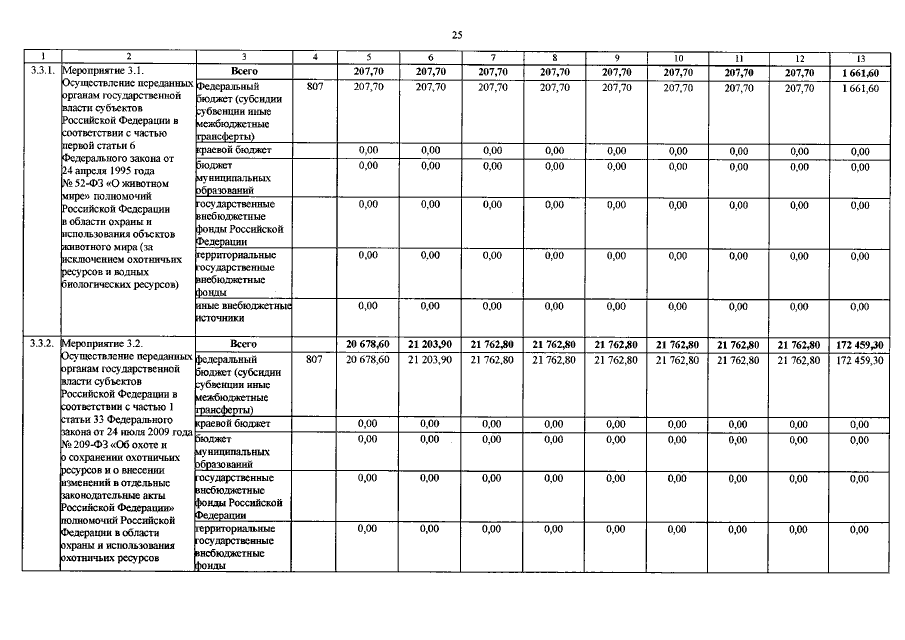
Постановление Правительства Приморского края от 10.11.2020 № 954-пп
"О внесении изменений в постановление Администрации Приморского края от 27 декабря 2019 года № 940-па "Об утверждении государственной программы Приморского края "Охрана окружающей среды Приморского края" на 2020 - 2027 годы"
Номер опубликования: 2501202011110003
Дата опубликования: 11.11.2020
Страница №55 из 65:
Увеличить