Официальное опубликование правовых актов
ОФИЦИАЛЬНОЕ ОПУБЛИКОВАНИЕ
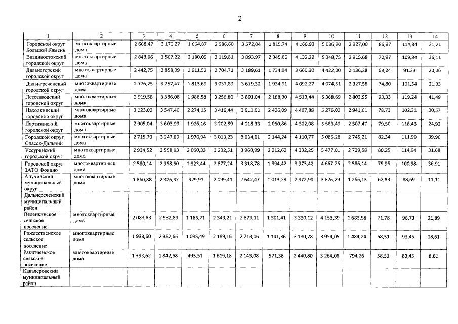
Постановление Правительства Приморского края от 28.10.2020 № 924-пп
"О внесении изменений в постановление Правительства Приморского края от 27 марта 2020 года № 261-пп "О региональных стандартах стоимости жилищно-коммунальных услуг на 2020 год"
Номер опубликования: 2501202010280009
Дата опубликования: 28.10.2020
Страница №3 из 12:
Увеличить