Официальное опубликование правовых актов
ОФИЦИАЛЬНОЕ ОПУБЛИКОВАНИЕ
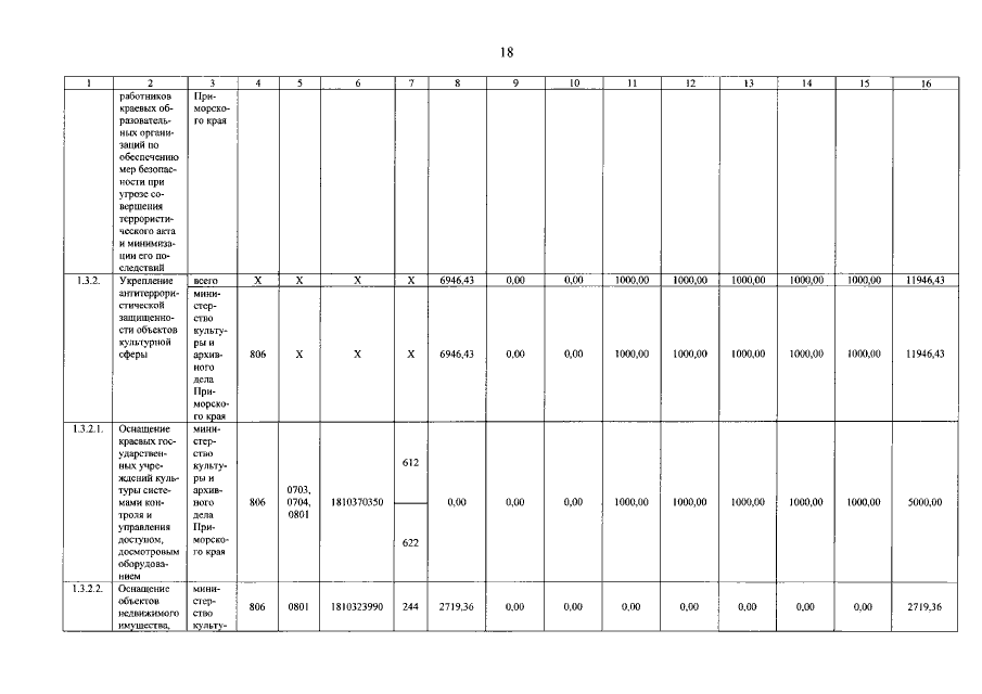
Постановление Правительства Приморского края от 14.10.2020 № 884-пп
"О внесении изменений в постановление Администрации Приморского края от 25 декабря 2019 года № 904-па "Об утверждении государственной программы Приморского края "Безопасный край" на 2020-2027 годы"
Номер опубликования: 2501202010140009
Дата опубликования: 14.10.2020
Страница №22 из 87:
Увеличить