Официальное опубликование правовых актов
ОФИЦИАЛЬНОЕ ОПУБЛИКОВАНИЕ
Постановление Правительства Приморского края от 12.10.2020 № 877-пп
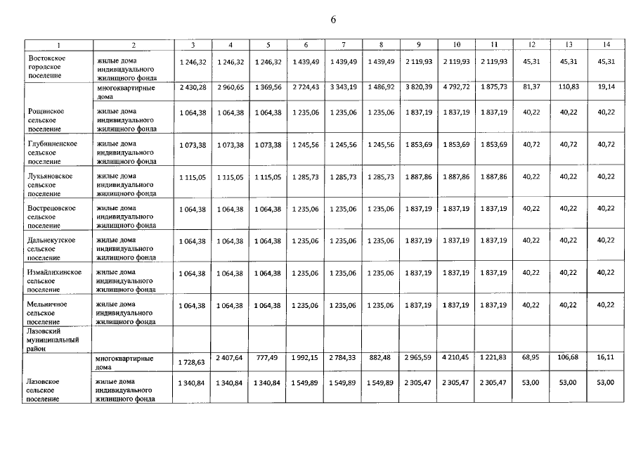
"О внесении изменений в постановление Правительства Приморского края от 27 марта 2020 года № 261-пп "О региональных стандартах стоимости жилищно-коммунальных услуг на 2020 год"
Номер опубликования: 2501202010140005
Дата опубликования: 14.10.2020
Страница №19 из 55:
Увеличить