Официальное опубликование правовых актов
ОФИЦИАЛЬНОЕ ОПУБЛИКОВАНИЕ
Приказ Инспекции по охране объектов культурного наследия Приморского края от 09.09.2020 № 240
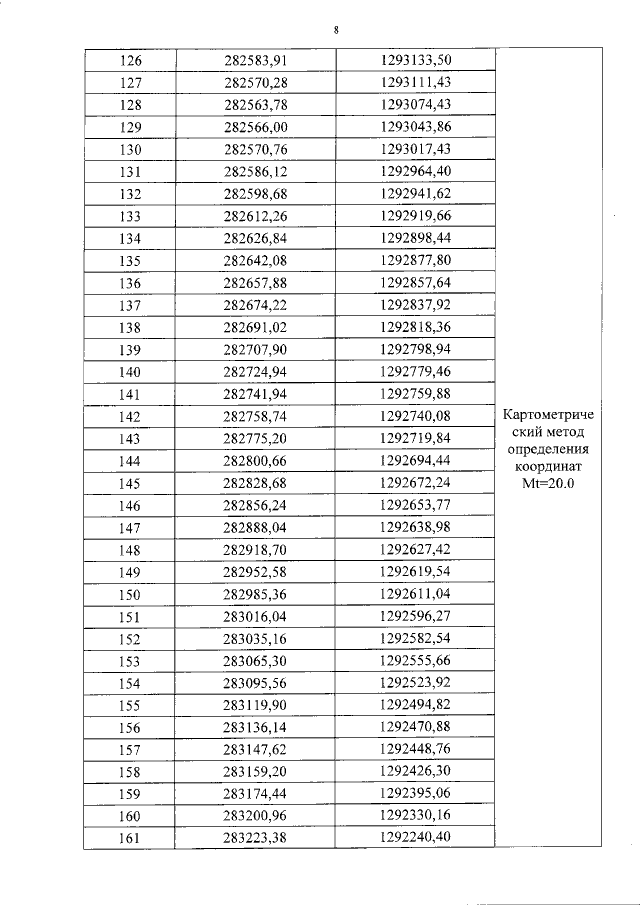
"О включении объекта, обладающего признаками объекта культурного наследия "Хасанская историко-культурная мемориальная заповедная территория", 1938 г., в перечень выявленных объектов культурного наследия Приморского края и утверждении границ территории выявленного объекта культурного наследия"
Номер опубликования: 2501202009090006
Дата опубликования: 09.09.2020
Страница №8 из 18:
Увеличить