Официальное опубликование правовых актов
ОФИЦИАЛЬНОЕ ОПУБЛИКОВАНИЕ
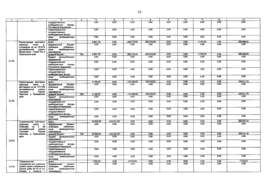
Постановление Правительства Приморского края от 01.09.2020 № 754-пп
"О внесении изменений в постановление Администрации Приморского края от 27 декабря 2019 года № 919-па "Об утверждении государственной программы Приморского края "Развитие транспортного комплекса Приморского края" на 2020 – 2027 годы"
Номер опубликования: 2501202009030003
Дата опубликования: 03.09.2020
Страница №65 из 93:
Увеличить