Официальное опубликование правовых актов
ОФИЦИАЛЬНОЕ ОПУБЛИКОВАНИЕ
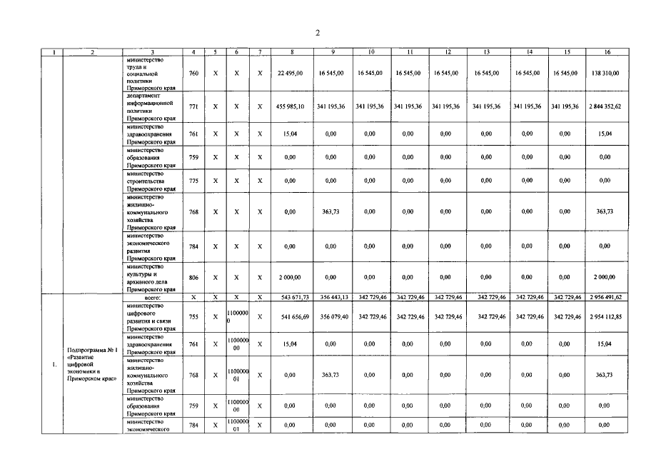
Постановление Правительства Приморского края от 18.05.2020 № 442-пп
"О внесении изменений в постановление Администрации Приморского края от 2 июля 2019 года № 418-па "Об утверждении государственной программы Приморского края "Информационное общество" на 2020 - 2027 годы"
Номер опубликования: 2501202005190010
Дата опубликования: 19.05.2020
Страница №5 из 42:
Увеличить