Официальное опубликование правовых актов
ОФИЦИАЛЬНОЕ ОПУБЛИКОВАНИЕ
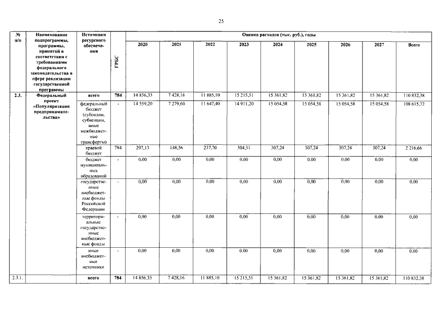
Постановление Правительства Приморского края от 14.04.2020 № 336-пп
"О внесении изменений в постановление Администрации Приморского края от 19 декабря 2019 года № 860-па "Об утверждении государственной программы Приморского края "Экономическое развитие и инновационная экономика Приморского края" на 2020 - 2027 годы"
Номер опубликования: 2501202004140002
Дата опубликования: 14.04.2020
Страница №71 из 107:
Увеличить