Официальное опубликование правовых актов
ОФИЦИАЛЬНОЕ ОПУБЛИКОВАНИЕ
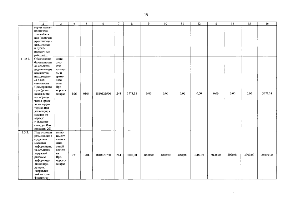
Постановление Правительства Приморского края от 31.03.2020 № 268-пп
"О внесении изменений в постановление Администрации Приморского края от 25 декабря 2019 года № 904-па "Об утверждении государственной программы Приморского края "Безопасный край" на 2020-2027"
Номер опубликования: 2501202004010005
Дата опубликования: 01.04.2020
Страница №30 из 94:
Увеличить