Официальное опубликование правовых актов
ОФИЦИАЛЬНОЕ ОПУБЛИКОВАНИЕ
Постановление Правительства Приморского края от 25.03.2020 № 250-пп
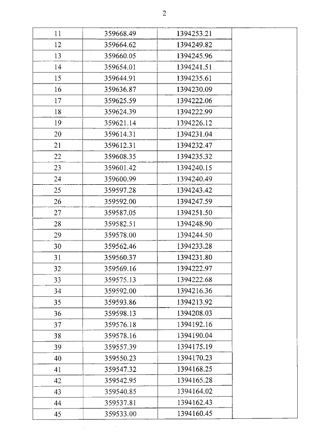
"Об установлении зон охраны объекта культурного наследия (памятника истории и культуры) народов Российской Федерации регионального значения "Дом Суворова", начало XX в., утверждении требований к градостроительным регламентам в границах территорий данных зон"
Номер опубликования: 2501202003260012
Дата опубликования: 26.03.2020
Страница №4 из 22:
Увеличить