Официальное опубликование правовых актов
ОФИЦИАЛЬНОЕ ОПУБЛИКОВАНИЕ
Постановление Правительства Приморского края от 21.02.2020 № 141-пп
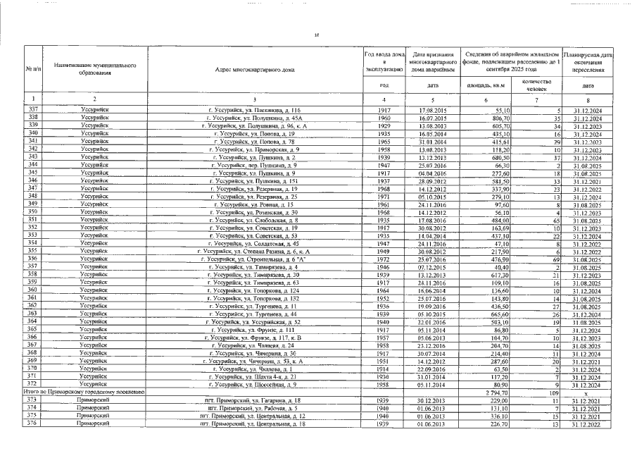
"О внесении изменений в постановление Администрации Приморского края от 9 апреля 2019 года № 217-па "Об утверждении региональной адресной программы "Переселение граждан из аварийного жилищного фонда в Приморском крае" на 2019-2025 годы"
Номер опубликования: 2501202002270001
Дата опубликования: 27.02.2020
Страница №30 из 56:
Увеличить