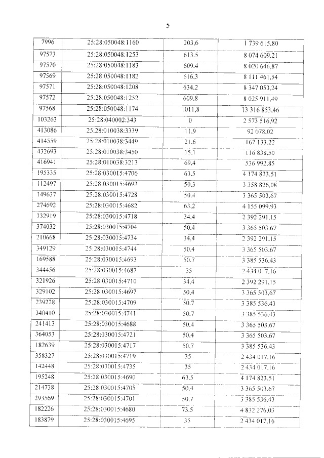
Постановление Министерства имущественных и земельных отношений Приморского края от 20.01.2020 № 1-п
"О внесении изменений в постановление департамента земельных и имущественных отношений Приморского края от 21 октября 2019 года № 6-п "Об утверждении результатов определения кадастровой стоимости объектов капитального строительства (зданий, сооружений, объектов незавершенного строительства, помещений, машино-мест, единых недвижимых комплексов) и земельных участков в составе земель лесного фонда, расположенных на территории Приморского края"
"О внесении изменений в постановление департамента земельных и имущественных отношений Приморского края от 21 октября 2019 года № 6-п "Об утверждении результатов определения кадастровой стоимости объектов капитального строительства (зданий, сооружений, объектов незавершенного строительства, помещений, машино-мест, единых недвижимых комплексов) и земельных участков в составе земель лесного фонда, расположенных на территории Приморского края"
Номер опубликования: 2501202001240004
Дата опубликования:
24.01.2020
