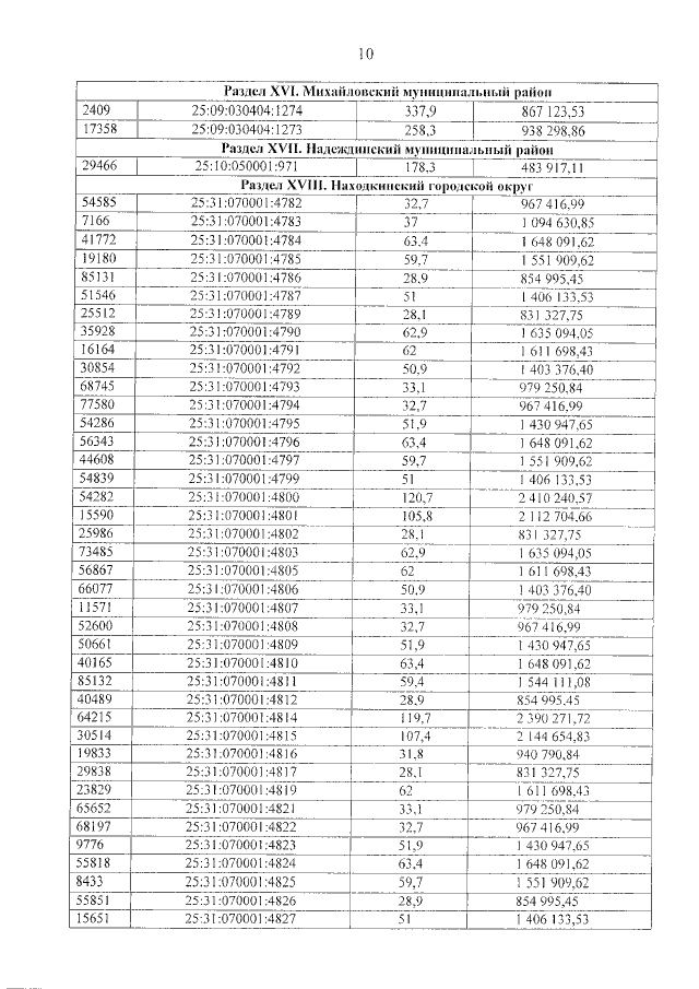
Постановление департамента земельных и имущественных отношений Приморского края от 26.12.2019 № 20-п
"О внесении изменений в постановление департамента земельных и имущественных отношений Приморского края от 21 октября 2019 года № 6-п "Об утверждении результатов определения кадастровой стоимости объектов капитального строительства (зданий, сооружений, объектов незавершенного строительства, помещений, машино-мест, единых недвижимых комплексов) и земельных участков в составе земель лесного фонда, расположенных на территории Приморского края"
"О внесении изменений в постановление департамента земельных и имущественных отношений Приморского края от 21 октября 2019 года № 6-п "Об утверждении результатов определения кадастровой стоимости объектов капитального строительства (зданий, сооружений, объектов незавершенного строительства, помещений, машино-мест, единых недвижимых комплексов) и земельных участков в составе земель лесного фонда, расположенных на территории Приморского края"
Номер опубликования: 2501201912310003
Дата опубликования:
31.12.2019
