Официальное опубликование правовых актов
ОФИЦИАЛЬНОЕ ОПУБЛИКОВАНИЕ
Постановление департамента по тарифам Приморского края от 26.12.2019 № 67/15
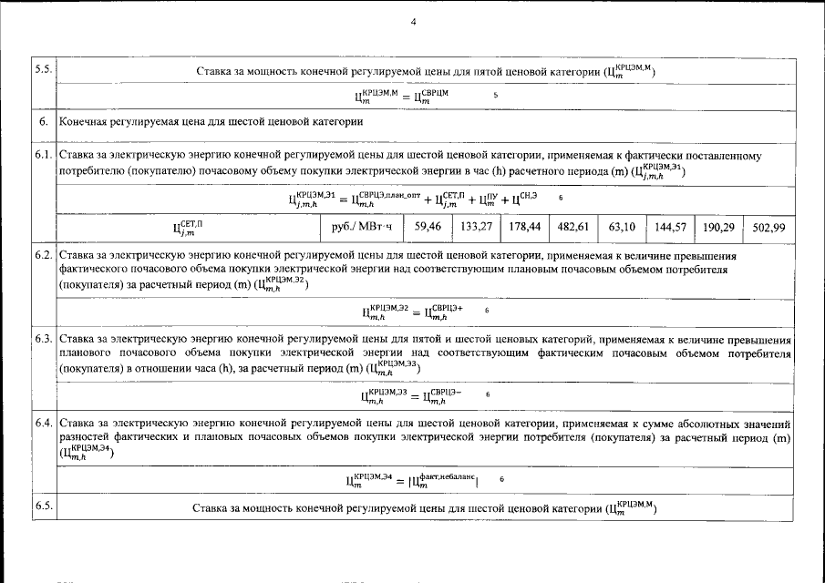
"Об установлении цен (тарифов) на электрическую энергию (мощность), поставляемую покупателям Приморского края на территориях, объединенных в неценовые зоны оптового рынка, за исключением электрической энергии (мощности), поставляемой населению и приравненным к нему категориям потребителей, по договорам энергоснабжения энергосбытовой организацией ООО "РУСЭНЕРГОСБЫТ"
Номер опубликования: 2501201912300031
Дата опубликования: 30.12.2019
Страница №29 из 44:
Увеличить