Официальное опубликование правовых актов
ОФИЦИАЛЬНОЕ ОПУБЛИКОВАНИЕ
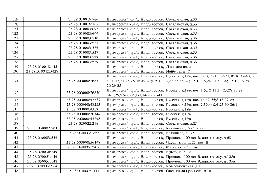
Распоряжение департамента земельных и имущественных отношений Приморского края от 25.12.2019 № 1022-ри
"Об утверждении Перечня объектов недвижимого имущества, в отношении которых налоговая база определяется как кадастровая стоимость, на 2020 год"
Номер опубликования: 2501201912300023
Дата опубликования: 30.12.2019
Страница №7 из 284:
Увеличить