Официальное опубликование правовых актов
ОФИЦИАЛЬНОЕ ОПУБЛИКОВАНИЕ
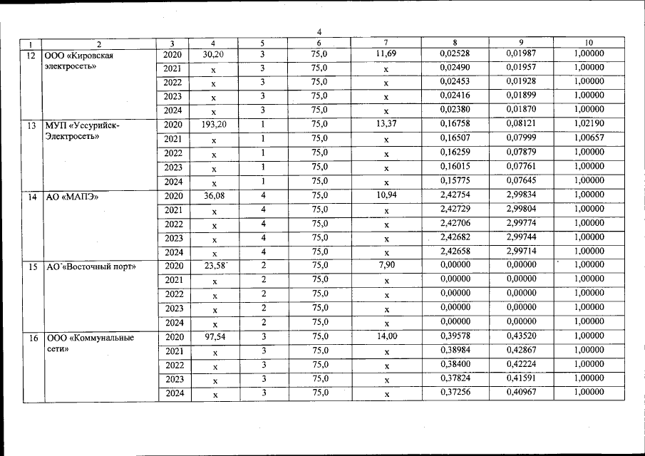
Постановление департамента по тарифам Приморского края от 26.12.2019 № 67/9
"Об установлении долгосрочных параметров регулирования деятельности территориальных сетевых организаций Приморского края на период с 2020 по 2024 годы"
Номер опубликования: 2501201912300014
Дата опубликования: 30.12.2019
Страница №5 из 10:
Увеличить