Официальное опубликование правовых актов
ОФИЦИАЛЬНОЕ ОПУБЛИКОВАНИЕ
Постановление департамента по тарифам Приморского края от 19.12.2019 № 65/19
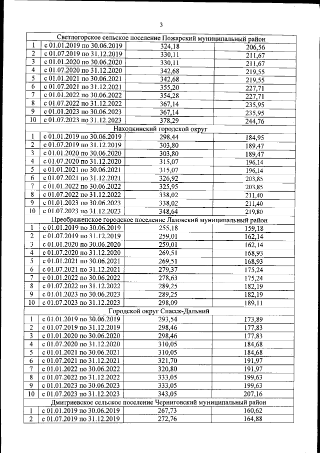
"О внесении изменений в постановление департамента по тарифам Приморского края от 20 декабря 2018 года № 70/7 "Об утверждении производственных программ и об установлении долгосрочных параметров регулирования и тарифов на горячую воду (закрытая система) для потребителей краевого государственного унитарного предприятия "Примтеплоэнерго", находящихся на территории Приморского края"
Номер опубликования: 2501201912270002
Дата опубликования: 27.12.2019
Страница №71 из 72:
Увеличить