Официальное опубликование правовых актов
ОФИЦИАЛЬНОЕ ОПУБЛИКОВАНИЕ
Постановление департамента по тарифам Приморского края от 19.12.2019 № 65/1
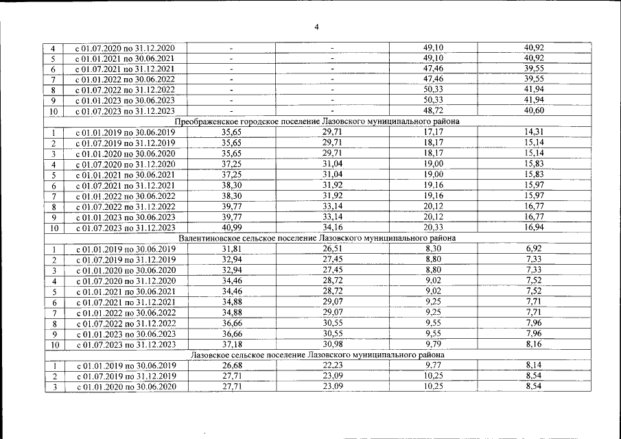
"О внесении изменений в постановление департамента по тарифам Приморского края от 20 декабря 2018 года № 70/1 "Об утверждении производственных программ и об установлении долгосрочных параметров регулирования и тарифов на питьевую воду и водоотведение для потребителей краевого государственного унитарного предприятия "Приморский водоканал", находящихся на территориях муниципальных образований Приморского края"
Номер опубликования: 2501201912250006
Дата опубликования: 25.12.2019
Страница №126 из 128:
Увеличить