Официальное опубликование правовых актов
ОФИЦИАЛЬНОЕ ОПУБЛИКОВАНИЕ
Приказ Инспекции по охране объектов культурного наследия Приморского края от 29.11.2019 № 288
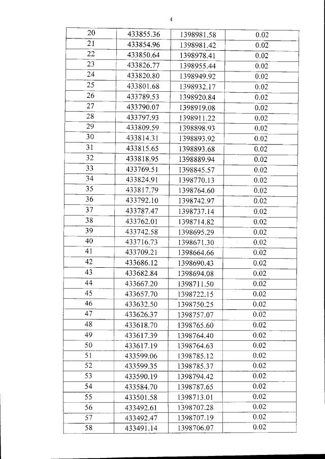
"Об утверждении границ территории объекта культурного наследия регионального значения "Городок казарменный 2-го Восточно-Сибирского стрелкового полка", расположенного по адресу (местонахождение): Приморский край, г. Уссурийск, ул. Афанасьева, д. 8, строения 110,111,112,113,169,170,171,174"
Номер опубликования: 2501201912040012
Дата опубликования: 04.12.2019
Страница №4 из 6:
Увеличить