Официальное опубликование правовых актов
ОФИЦИАЛЬНОЕ ОПУБЛИКОВАНИЕ
Приказ Инспекции по охране объектов культурного наследия Приморского края от 28.02.2019 № 53
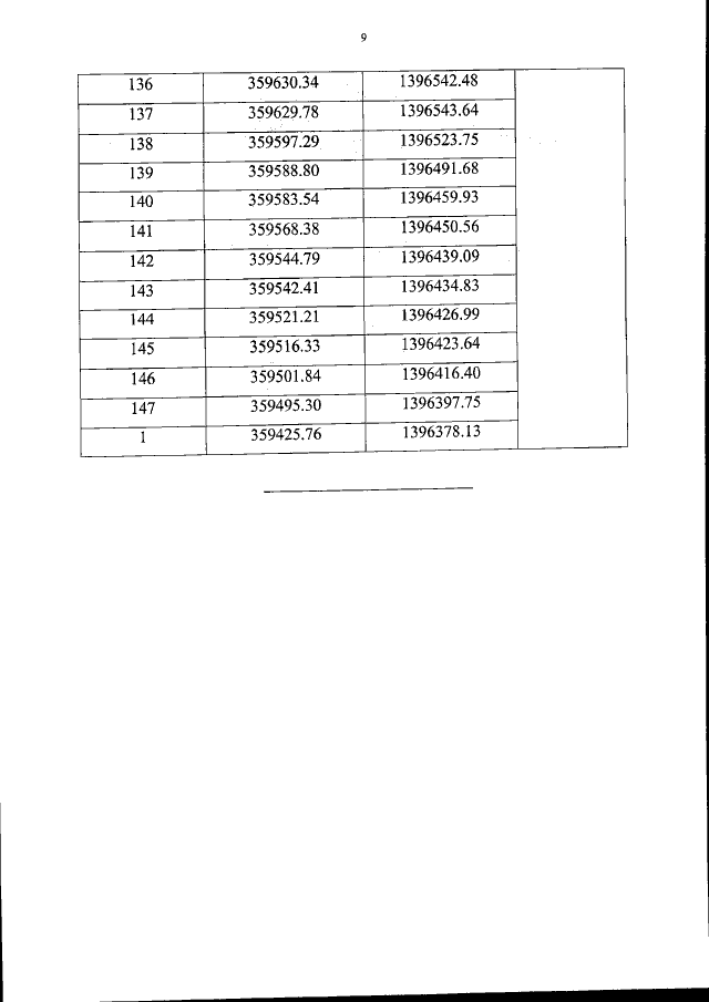
"О включении объекта, обладающего признаками объекта культурного наследия, "Достопримечательное место "Ансамбль механического завода Владивостокского военного порта", в перечень выявленных объектов культурного наследия Приморского края, и утверждении границ территории выявленного объекта культурного наследия"
Номер опубликования: 2501201903040006
Дата опубликования: 04.03.2019
Страница №9 из 9:
Увеличить