Официальное опубликование правовых актов
ОФИЦИАЛЬНОЕ ОПУБЛИКОВАНИЕ
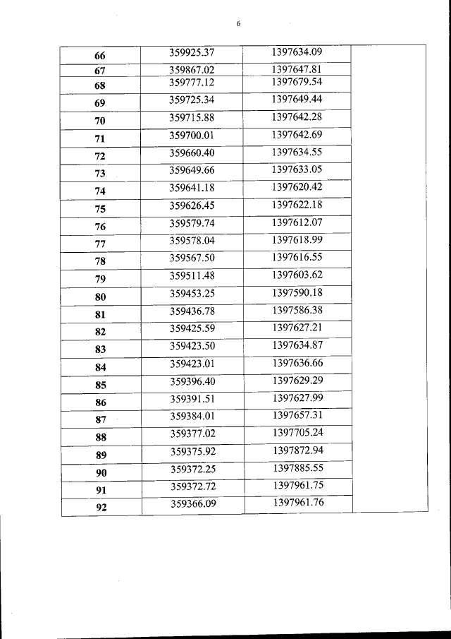
Приказ Инспекции по охране объектов культурного наследия Приморского края от 05.02.2019 № 20
"О включении объекта, обладающего признаками объекта культурного наследия, "Достопримечательное место "Экипажная слобода", начало ХХ в., в перечень выявленных объектов культурного наследия Приморского края, и утверждении границ территории выявленного объекта культурного наследия"
Номер опубликования: 2501201902110005
Дата опубликования: 11.02.2019
Страница №6 из 7:
Увеличить