Официальное опубликование правовых актов
ОФИЦИАЛЬНОЕ ОПУБЛИКОВАНИЕ
Постановление департамента по тарифам Приморского края от 26.12.2018 № 72/7
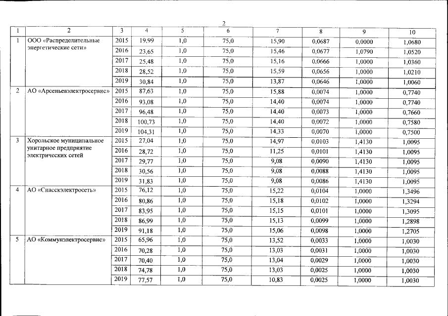
"О внесении изменений в постановление департамента по тарифам Приморского края от 24 декабря 2014 года № 65/6 "Об установлении долгосрочных параметров регулирования деятельности территориальных сетевых организаций Приморского края на период с 2015 по 2019 годы"
Номер опубликования: 2501201812270022
Дата опубликования: 27.12.2018
Страница №4 из 11:
Увеличить