Официальное опубликование правовых актов
ОФИЦИАЛЬНОЕ ОПУБЛИКОВАНИЕ
Постановление департамента по тарифам Приморского края от 20.12.2018 № 70/7
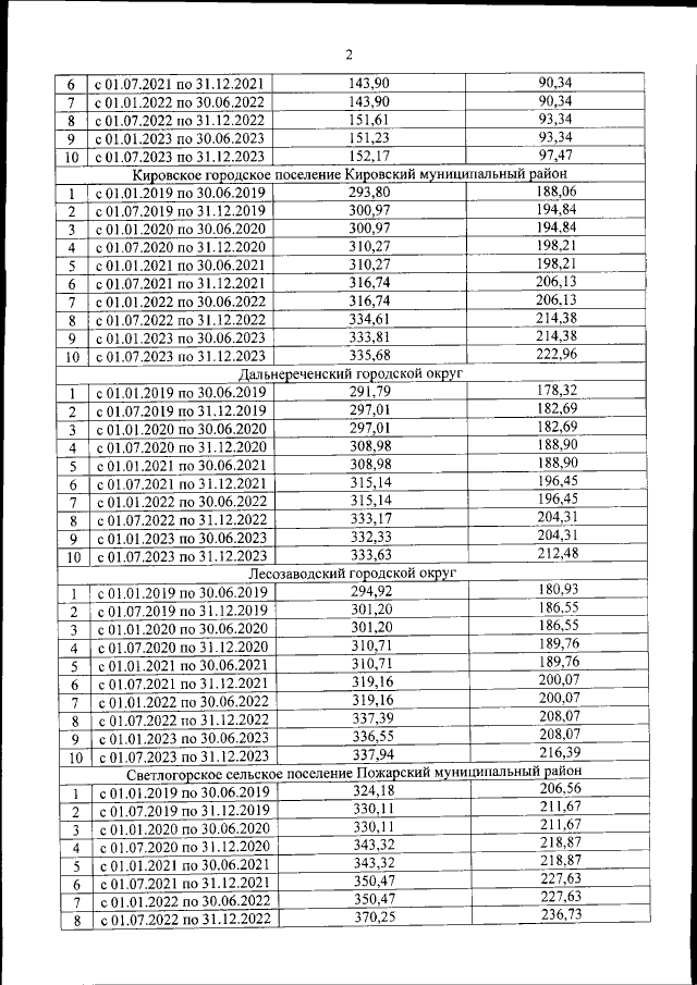
"Об утверждении производственных программ и об установлении долгосрочных параметров регулирования и тарифов на горячую воду (закрытая система) для потребителей краевого государственного унитарного предприятия "Примтеплоэнерго", находящихся на территории Приморского края"
Номер опубликования: 2501201812260016
Дата опубликования: 26.12.2018
Страница №68 из 70:
Увеличить