Официальное опубликование правовых актов
ОФИЦИАЛЬНОЕ ОПУБЛИКОВАНИЕ
Постановление департамента по тарифам Приморского края от 19.12.2018 № 69/20
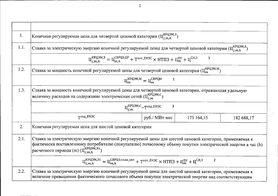
"Об установлении цен (тарифов) на электрическую энергию (мощность), поставляемую по договорам энергоснабжения покупателям на розничных рынках на территориях, объединенных в неценовые зоны оптового рынка, за исключением электрической энергии (мощности), поставляемой населению и приравненным к нему категориям потребителей, услуги по передаче электрической энергии (мощности) которым оказываются только с использованием объектов электросетевого хозяйства, входящих в единую национальную (общероссийскую) электрическую сеть, энергосбытовой организацией ЗАО "Система"
Номер опубликования: 2501201812250008
Дата опубликования: 25.12.2018
Страница №4 из 8:
Увеличить