Официальное опубликование правовых актов
ОФИЦИАЛЬНОЕ ОПУБЛИКОВАНИЕ
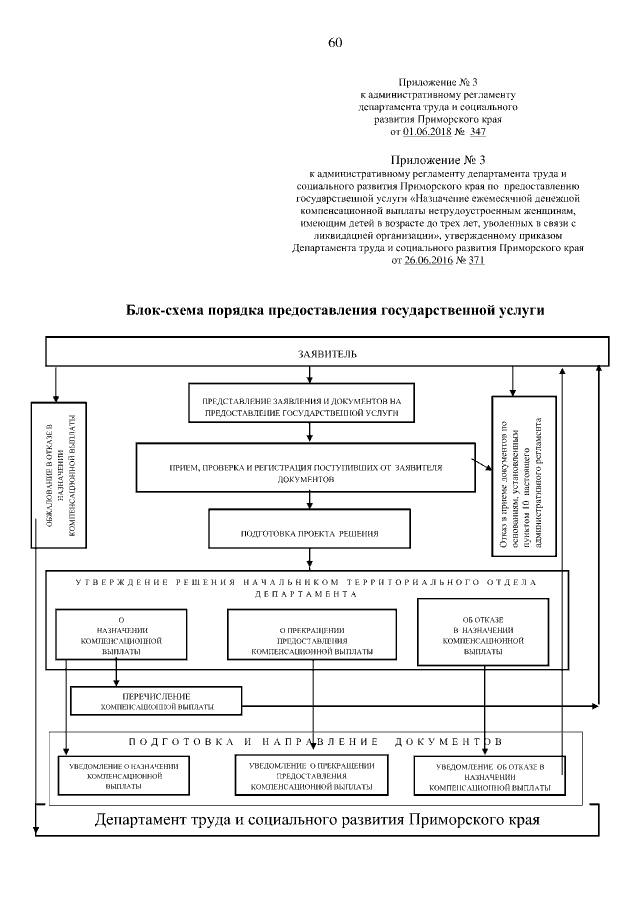
Приказ департамента труда и социального развития Приморского края от 01.06.2018 № 347
"О внесении изменений в приказ департамента труда и социального развития Приморского края от 04 июня 2013 года № 473 "Об утверждении административного регламента департамента труда и социального развития Приморского края по предоставлению государственной услуги "Назначение ежемесячной денежной компенсационной выплаты нетрудоустроенным женщинам, имеющим детей в возрасте до трех лет, уволенным в связи с ликвидацией организации"
Номер опубликования: 2501201806040002
Дата опубликования: 04.06.2018
Страница №60 из 60:
Увеличить