Приказ Инспекции регионального строительного надзора и контроля в области долевого строительства Приморского края от 15.08.2017 № 30
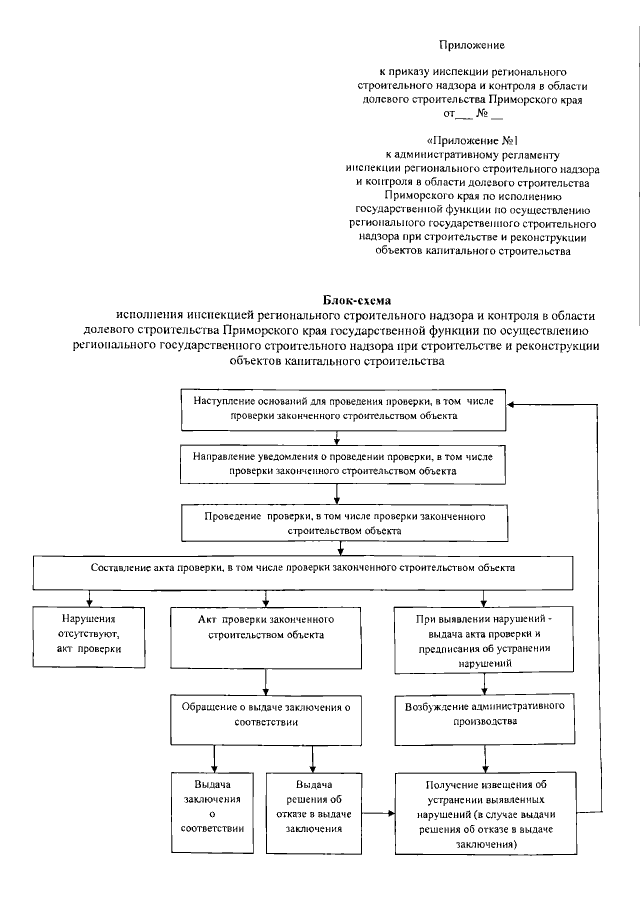
"О внесении изменений в приказ инспекции регионального строительного надзора и контроля в области долевого строительства Приморского края от 11 апреля 2013 года № 23 "Об утверждении административного регламента инспекции регионального строительного надзора и контроля в области долевого строительства Приморского края по исполнению государственной функции по осуществлению регионального государственного строительного надзора при строительстве и реконструкции объектов капитального строительства"
"О внесении изменений в приказ инспекции регионального строительного надзора и контроля в области долевого строительства Приморского края от 11 апреля 2013 года № 23 "Об утверждении административного регламента инспекции регионального строительного надзора и контроля в области долевого строительства Приморского края по исполнению государственной функции по осуществлению регионального государственного строительного надзора при строительстве и реконструкции объектов капитального строительства"
Номер опубликования: 2501201708170003
Дата опубликования:
17.08.2017
