Официальное опубликование правовых актов
ОФИЦИАЛЬНОЕ ОПУБЛИКОВАНИЕ
Постановление департамента по тарифам Приморского края от 30.05.2017 № 28
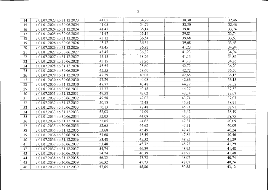
"Об утверждении производственных программ и об установлении долгосрочных параметров регулирования и тарифов на питьевую воду и водоотведение для потребителей общества с ограниченной ответственностью "Живая Планета", находящихся на территории Сибирцевского городского поселения Черниговского муниципального района Приморского края"
Номер опубликования: 2501201706010002
Дата опубликования: 01.06.2017
Страница №23 из 24:
Увеличить