Официальное опубликование правовых актов
ОФИЦИАЛЬНОЕ ОПУБЛИКОВАНИЕ
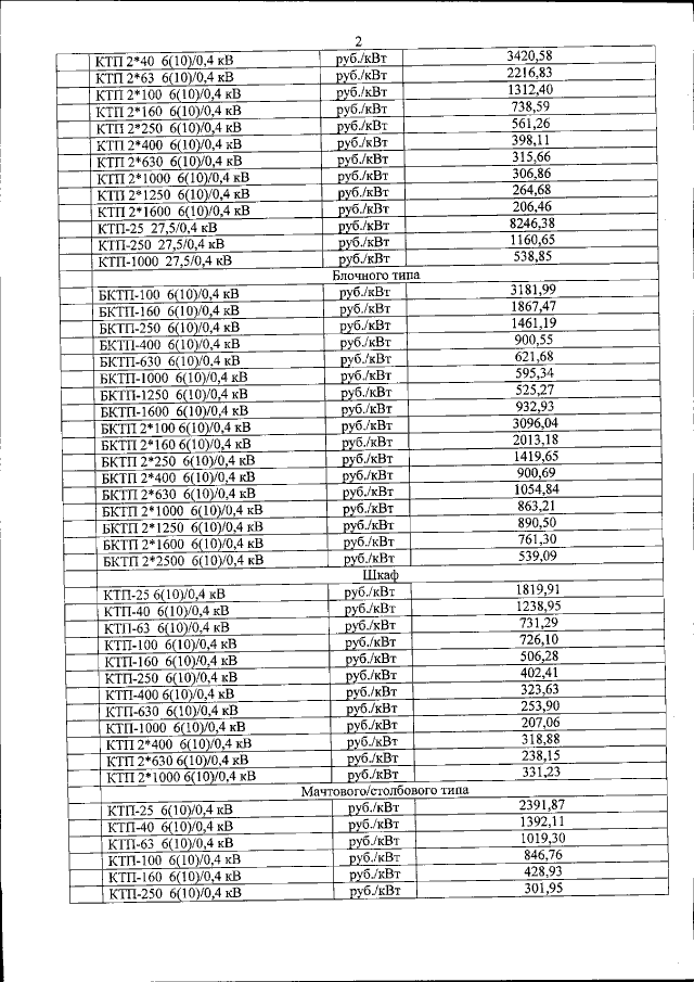
Постановление департамента по тарифам Приморского края от 29.03.2017 № 17/6
"Об утверждении ставок за единицу максимальной мощности за технологическое присоединение к электрическим сетям ООО "Горэлектросеть"
Номер опубликования: 2501201703310005
Дата опубликования: 31.03.2017
Страница №6 из 9:
Увеличить