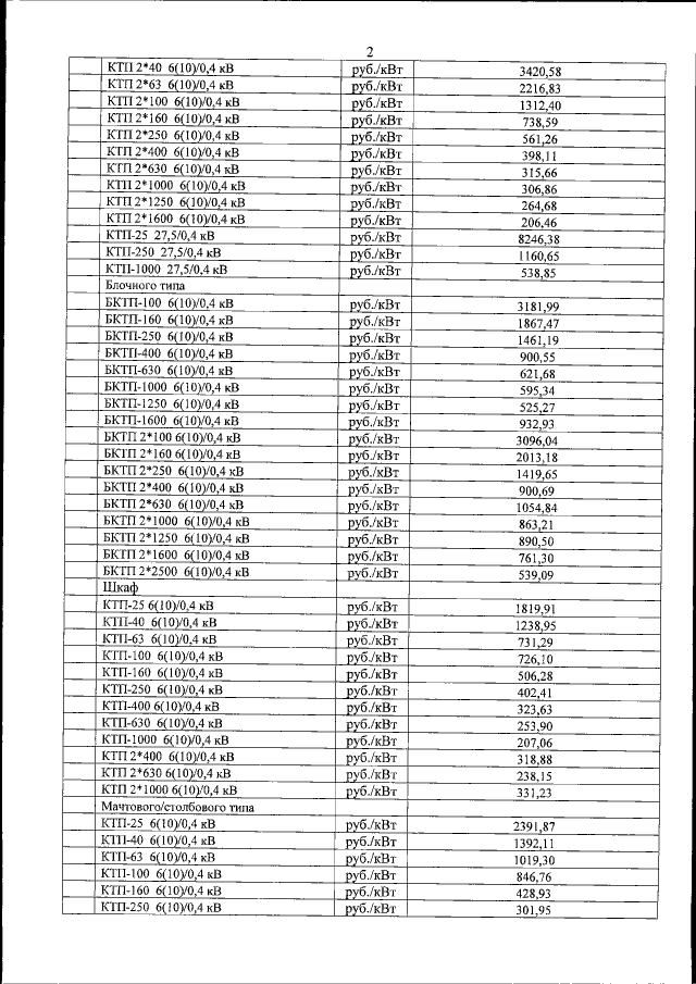
Постановление департамента по тарифам Приморского края от 29.12.2016 № 76/1
"Об утверждении ставок за единицу максимальной мощности за технологическое присоединение к электрическим сетям филиал "Приморский" АО "Оборонэнерго"
"Об утверждении ставок за единицу максимальной мощности за технологическое присоединение к электрическим сетям филиал "Приморский" АО "Оборонэнерго"
Номер опубликования: 2501201612300004
Дата опубликования:
30.12.2016
