Официальное опубликование правовых актов
ОФИЦИАЛЬНОЕ ОПУБЛИКОВАНИЕ
Постановление департамента по тарифам Приморского края от 27.12.2016 № 74/21
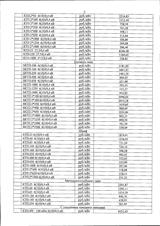
"Об утверждении ставок за единицу максимальной мощности за технологическое присоединение к электрическим сетям ООО "Артемовская электросетевая компания"
Номер опубликования: 2501201612300002
Дата опубликования: 30.12.2016
Страница №6 из 9:
Увеличить