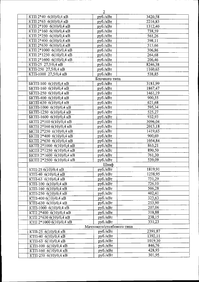
Постановление департамента по тарифам Приморского края от 27.12.2016 № 74/4
"Об утверждении ставок за единицу максимальной мощности за технологическое присоединение к электрическим сетям МУП "Уссурийск-Электросеть"
"Об утверждении ставок за единицу максимальной мощности за технологическое присоединение к электрическим сетям МУП "Уссурийск-Электросеть"
Номер опубликования: 2501201612290031
Дата опубликования:
29.12.2016
