Официальное опубликование правовых актов
ОФИЦИАЛЬНОЕ ОПУБЛИКОВАНИЕ
Постановление департамента по тарифам Приморского края от 20.12.2016 № 70/25
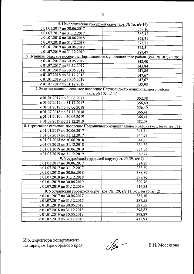
"Об утверждении производственных программ и об установлении долгосрочных параметров регулирования и тарифов на горячую воду (закрытая система), поставляемую акционерным обществом "Главное управление жилищно - коммунального хозяйства" потребителям, находящимся на территории Приморского края"
Номер опубликования: 2501201612280032
Дата опубликования: 28.12.2016
Страница №38 из 38:
Увеличить