Официальное опубликование правовых актов
ОФИЦИАЛЬНОЕ ОПУБЛИКОВАНИЕ
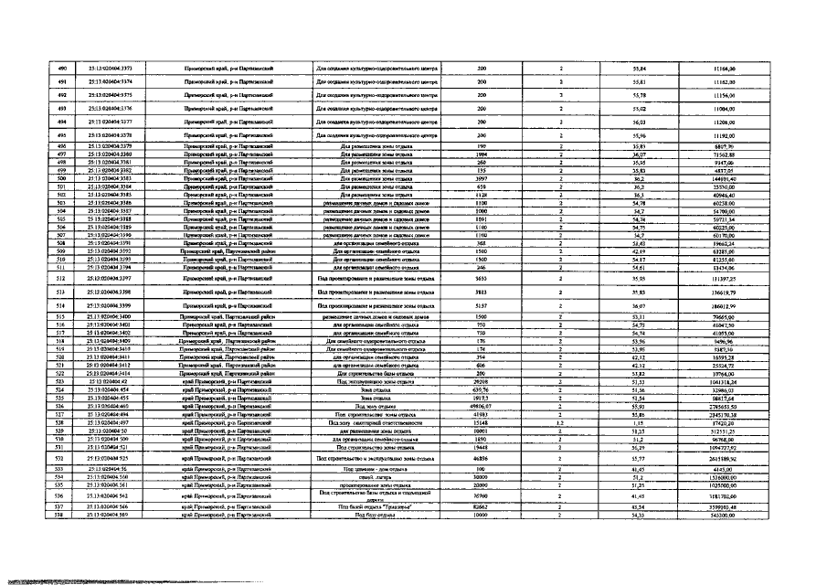
Постановление департамента земельных и имущественных отношений Приморского края от 05.09.2016 № 3-п
"Об утверждении результатов определения кадастровой стоимости земельных участков в составе земель особо охраняемых территорий и объектов, расположенных на территории Приморского края"
Номер опубликования: 2501201609090002
Дата опубликования: 09.09.2016
Страница №17 из 52:
Увеличить