Официальное опубликование правовых актов
ОФИЦИАЛЬНОЕ ОПУБЛИКОВАНИЕ
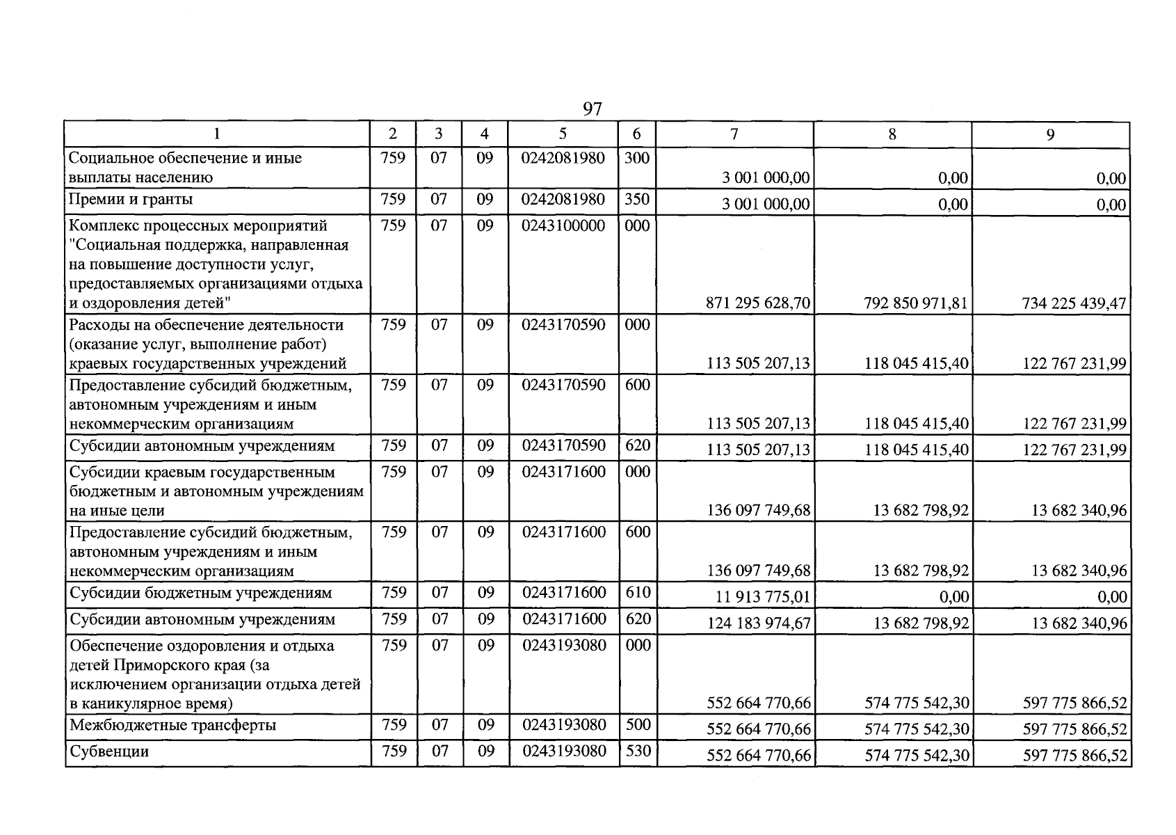
Закон Приморского края от 25.02.2026 № 961-КЗ
"О внесении изменений в Закон Приморского края "О краевом бюджете на 2026 год и плановый период 2027 и 2028 годов"
Номер опубликования: 2500202602250003
Дата опубликования: 25.02.2026
Страница №488 из 1188:
Увеличить