Официальное опубликование правовых актов
ОФИЦИАЛЬНОЕ ОПУБЛИКОВАНИЕ
Постановление Губернатора Приморского края от 16.07.2025 № 52-пг
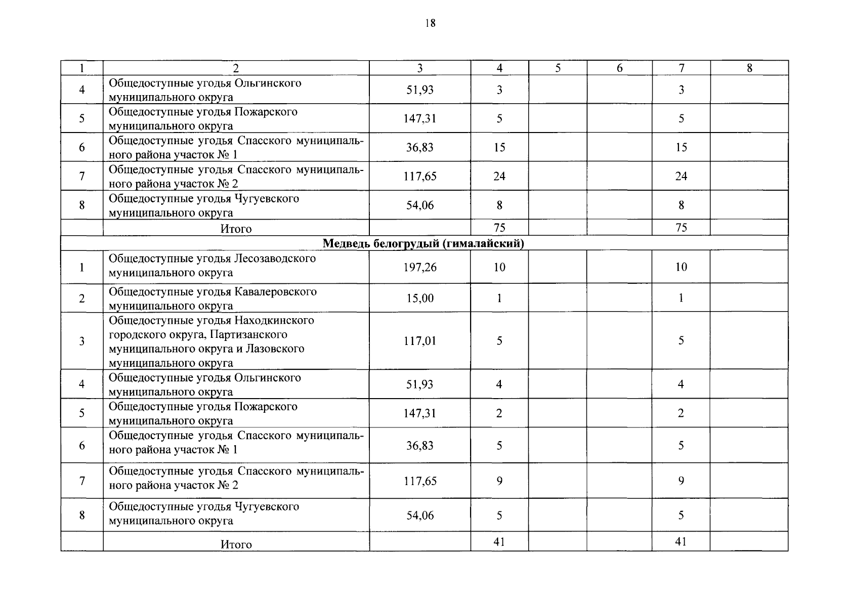
"Об утверждении лимита добычи охотничьих ресурсов на территории Приморского края, за исключением особо охраняемых природных территорий федерального значения, на период с 1 августа 2025 года до 1 августа 2026 года и объемов (квот) добычи охотничьих ресурсов"
Номер опубликования: 2500202507170002
Дата опубликования: 17.07.2025
Страница №21 из 22:
Увеличить