Официальное опубликование правовых актов
ОФИЦИАЛЬНОЕ ОПУБЛИКОВАНИЕ
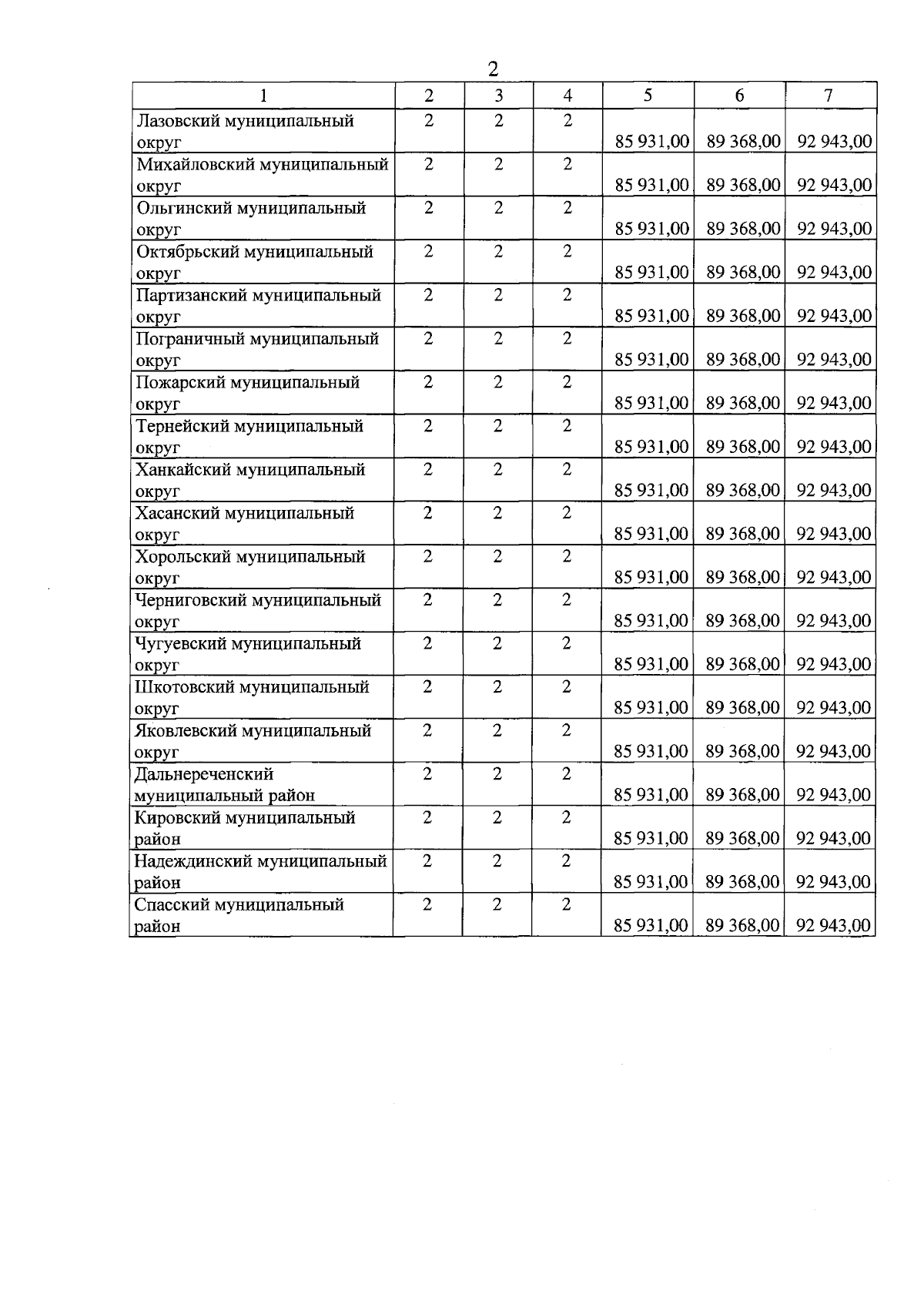
Закон Приморского края от 19.12.2024 № 692-КЗ
"О краевом бюджете на 2025 год и плановый период 2026 и 2027 годов"
Номер опубликования: 2500202412200003
Дата опубликования: 20.12.2024
Страница №1298 из 1309:
Увеличить