Официальное опубликование правовых актов
ОФИЦИАЛЬНОЕ ОПУБЛИКОВАНИЕ
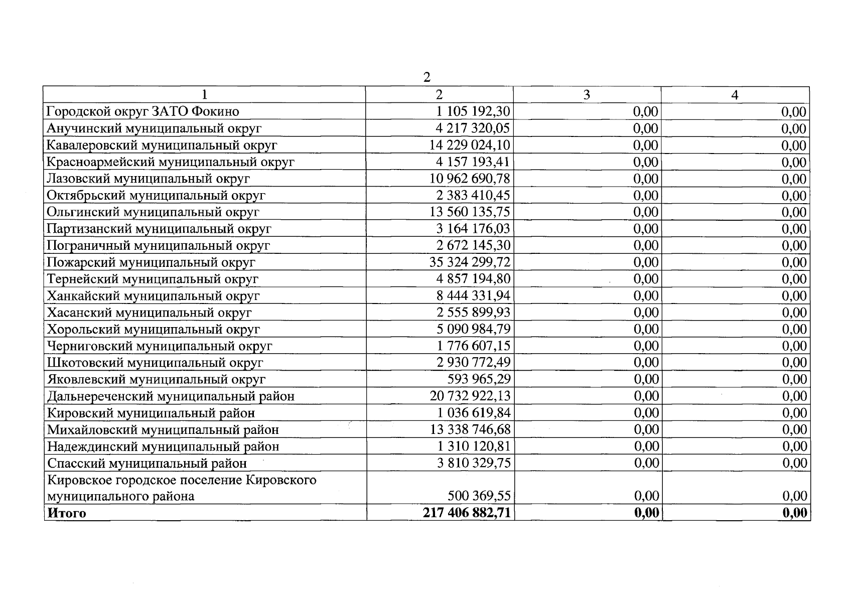
Закон Приморского края от 27.11.2024 № 670-КЗ
"О внесении изменений в Закон Приморского края "О краевом бюджете на 2024 год и плановый период 2025 и 2026 годов"
Номер опубликования: 2500202411270003
Дата опубликования: 27.11.2024
Страница №1247 из 1286:
Увеличить