Официальное опубликование правовых актов
ОФИЦИАЛЬНОЕ ОПУБЛИКОВАНИЕ
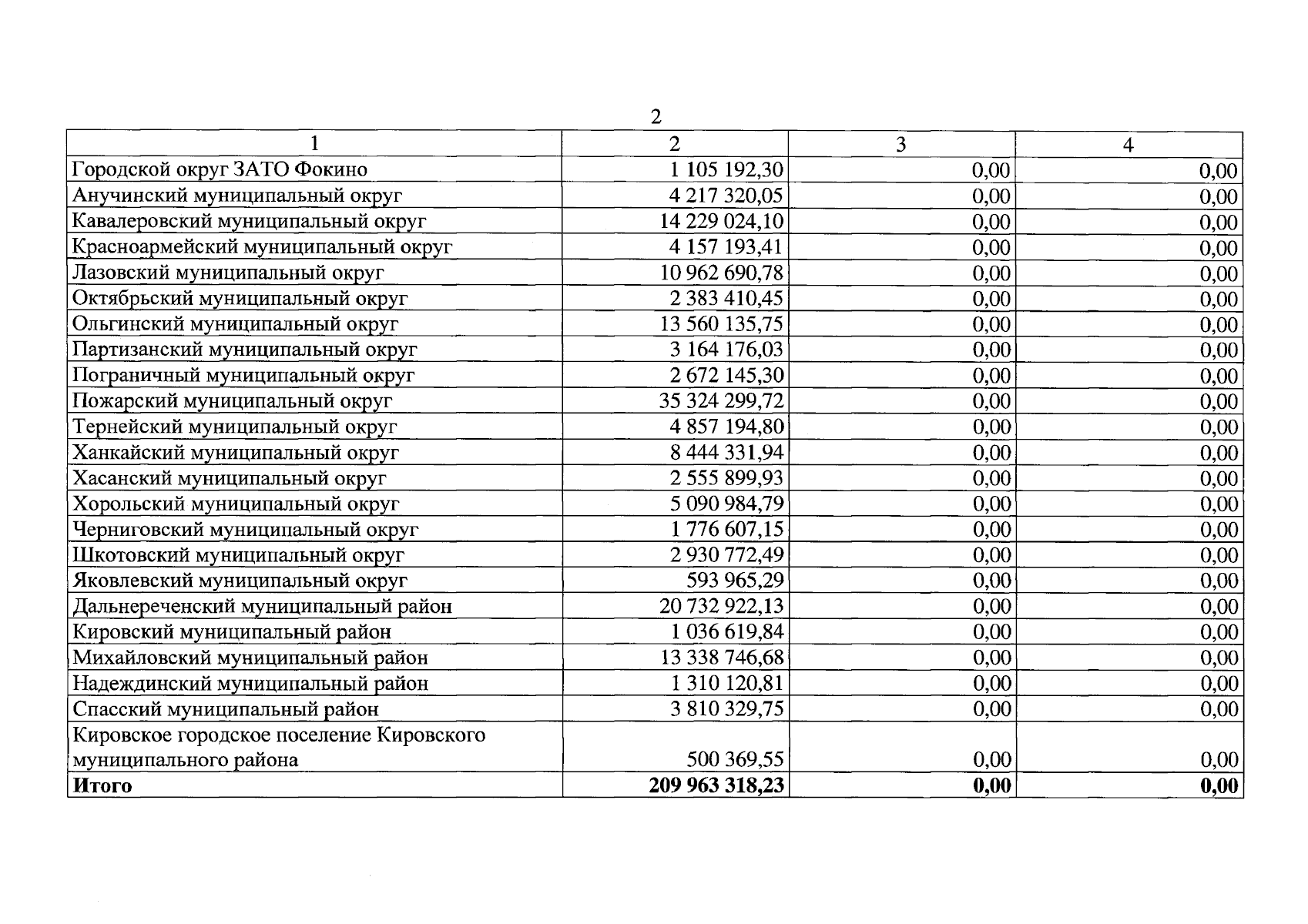
Закон Приморского края от 03.10.2024 № 655-КЗ
"О внесении изменений в Закон Приморского края "О краевом бюджете на 2024 год и плановый период 2025 и 2026 годов"
Номер опубликования: 2500202410040001
Дата опубликования: 04.10.2024
Страница №1272 из 1315:
Увеличить