Официальное опубликование правовых актов
ОФИЦИАЛЬНОЕ ОПУБЛИКОВАНИЕ
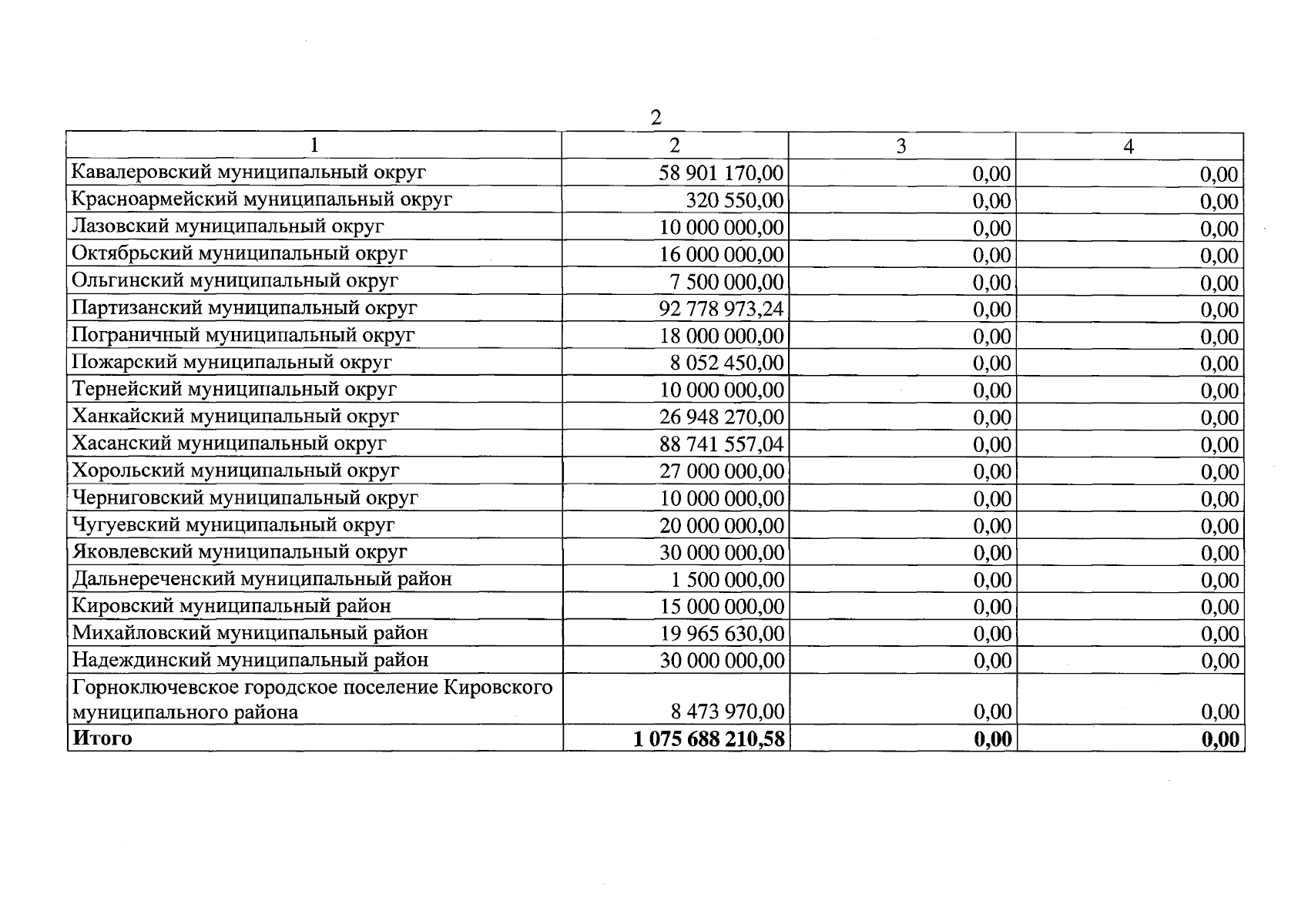
Закон Приморского края от 24.07.2024 № 613-КЗ
"О внесении изменений в Закон Приморского края "О краевом бюджете на 2024 год и плановый период 2025 и 2026 годов"
Номер опубликования: 2500202407250001
Дата опубликования: 25.07.2024
Страница №1198 из 1205:
Увеличить