Официальное опубликование правовых актов
ОФИЦИАЛЬНОЕ ОПУБЛИКОВАНИЕ
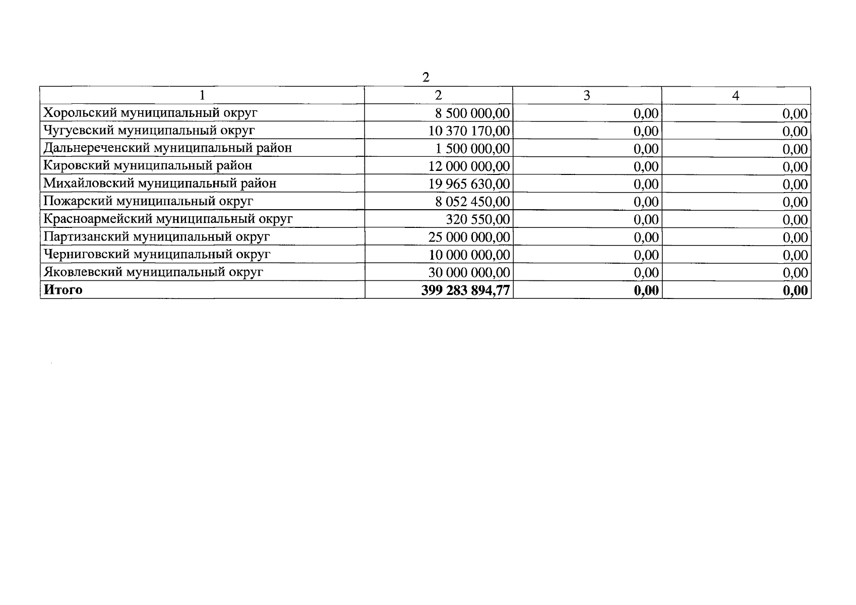
Закон Приморского края от 22.12.2023 № 495-КЗ
"О краевом бюджете на 2024 год и плановый период 2025 и 2026 годов"
Номер опубликования: 2500202312260001
Дата опубликования: 26.12.2023
Страница №1253 из 1324:
Увеличить