Официальное опубликование правовых актов
ОФИЦИАЛЬНОЕ ОПУБЛИКОВАНИЕ
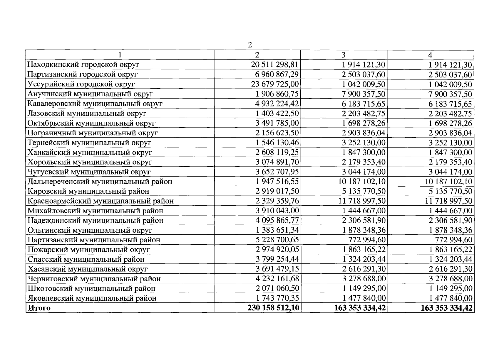
Закон Приморского края от 29.11.2023 № 468-КЗ
"О внесении изменений в Закон Приморского края "О краевом бюджете на 2023 год и плановый период 2024 и 2025 годов"
Номер опубликования: 2500202311290005
Дата опубликования: 29.11.2023
Страница №1262 из 1273:
Увеличить