Официальное опубликование правовых актов
ОФИЦИАЛЬНОЕ ОПУБЛИКОВАНИЕ
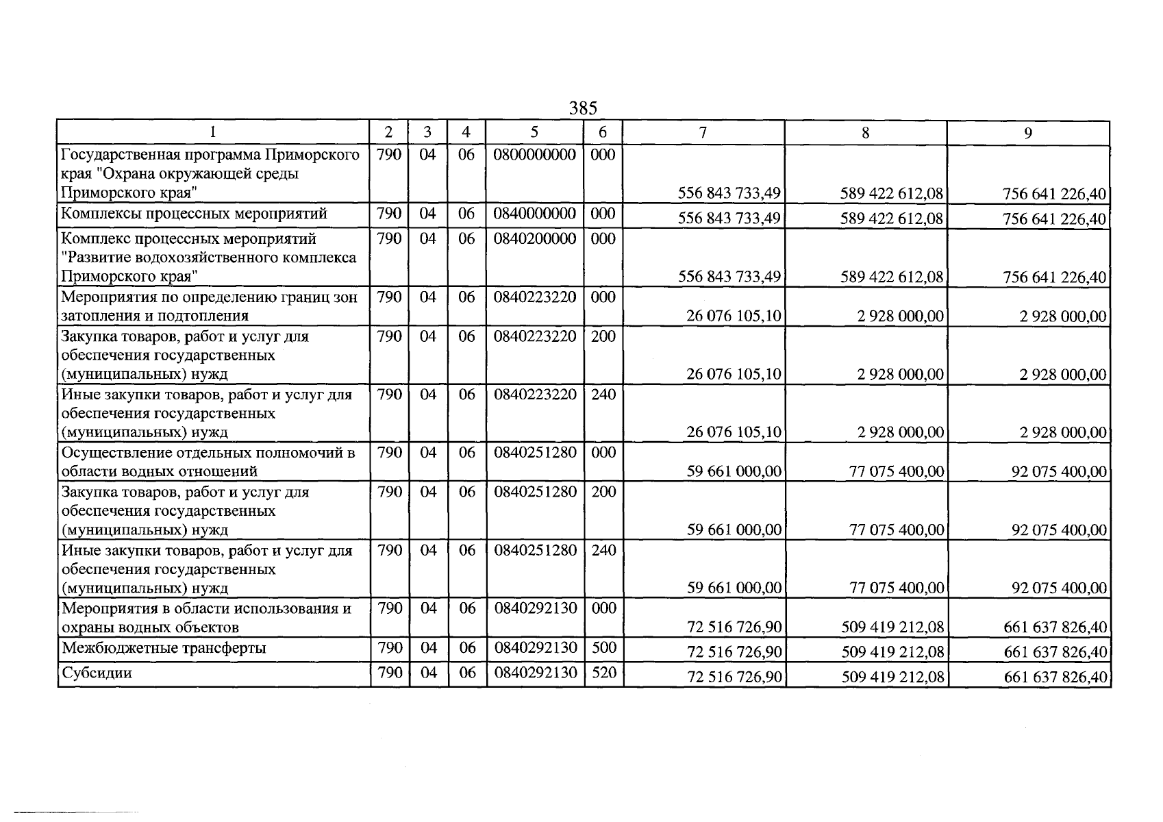
Закон Приморского края от 25.10.2023 № 448-КЗ
"О внесении изменений в Закон Приморского края "О краевом бюджете на 2023 год и плановый период 2024 и 2025 годов"
Номер опубликования: 2500202310250001
Дата опубликования: 25.10.2023
Страница №804 из 1257:
Увеличить