Официальное опубликование правовых актов
ОФИЦИАЛЬНОЕ ОПУБЛИКОВАНИЕ
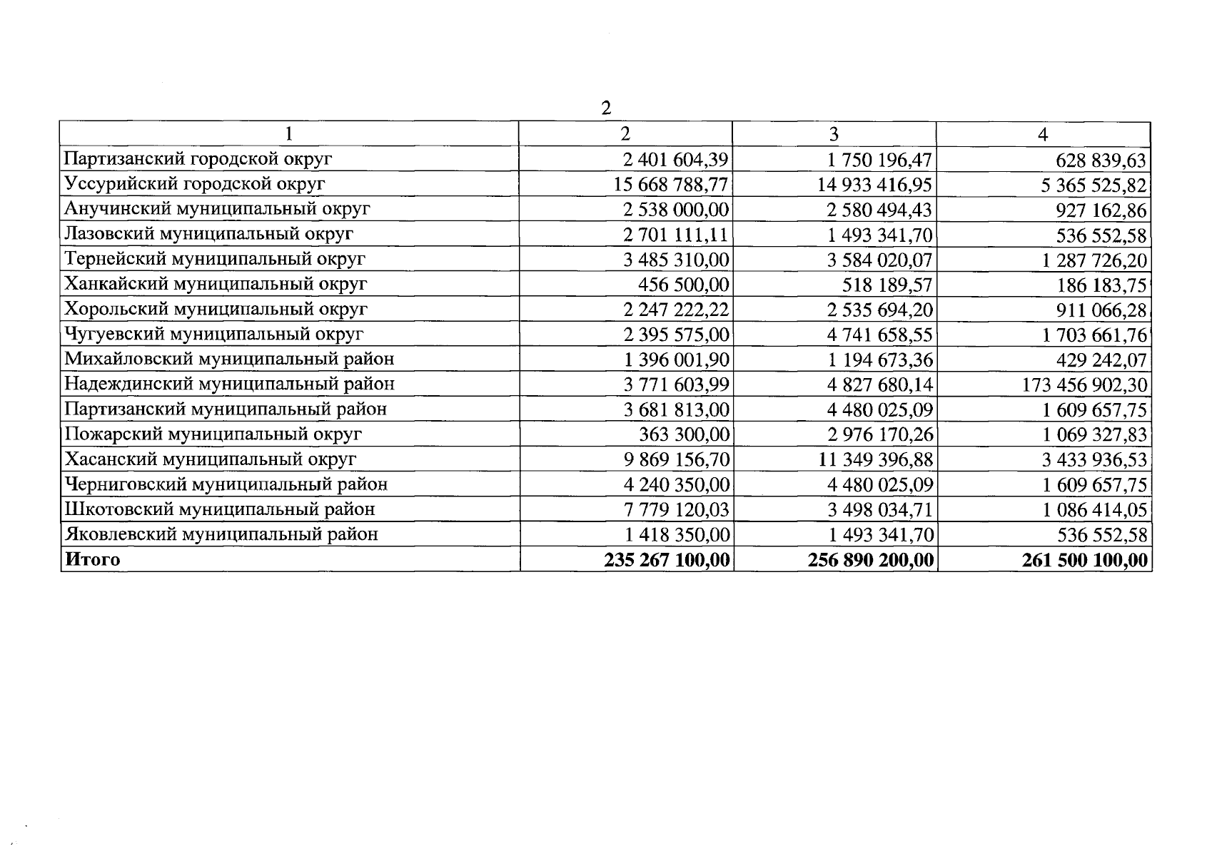
Закон Приморского края от 27.09.2023 № 418-КЗ
"О внесении изменений в Закон Приморского края "О краевом бюджете на 2023 год и плановый период 2024 и 2025 годов"
Номер опубликования: 2500202309270001
Дата опубликования: 27.09.2023
Страница №1232 из 1274:
Увеличить