Распоряжение Губернатора Приморского края от 10.07.2023 № 214-рг
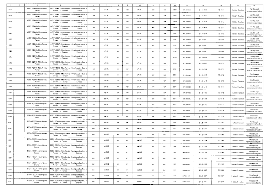
"О внесении изменений в распоряжение Губернатора Приморского края от 11 октября 2017 года № 157-рг "Об утверждении перечня потребителей электрической энергии (мощности), ограничение режима потребления электрической энергии которых может привести к экономическим, экологическим, социальным последствиям"
"О внесении изменений в распоряжение Губернатора Приморского края от 11 октября 2017 года № 157-рг "Об утверждении перечня потребителей электрической энергии (мощности), ограничение режима потребления электрической энергии которых может привести к экономическим, экологическим, социальным последствиям"
Номер опубликования: 2500202307110002
Дата опубликования:
11.07.2023
