Официальное опубликование правовых актов
ОФИЦИАЛЬНОЕ ОПУБЛИКОВАНИЕ
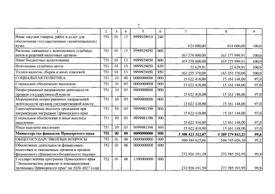
Закон Приморского края от 04.07.2023 № 387-КЗ
"Об исполнении краевого бюджета за 2022 год"
Номер опубликования: 2500202307060019
Дата опубликования: 06.07.2023
Страница №56 из 1116:
Увеличить