Официальное опубликование правовых актов
ОФИЦИАЛЬНОЕ ОПУБЛИКОВАНИЕ
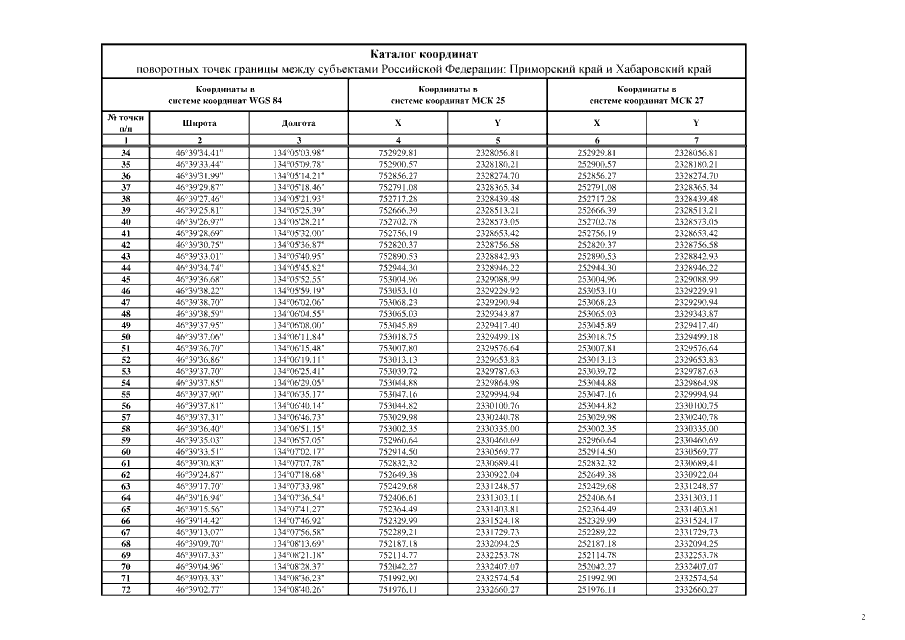
Закон Приморского края от 24.04.2023 № 340-КЗ
"Об утверждении дополнительного соглашения от 24 июня 2022 года № 1 к Соглашению об описании местоположения границы между Приморским и Хабаровским краями от 28 мая 2021 года"
Номер опубликования: 2500202304250014
Дата опубликования: 25.04.2023
Страница №5 из 291:
Увеличить